Performance
Note
Starting at
l4a.pdf, slide 10
Performance and Scalability
- Sequential runtime (): a function of problem size and architecture
- Parallel runtime (): a function of problem size, parallel architecture, & number of processors used in the execution
- Parallel performance affected by algorithm & architecture
- Scalability: how the program behaves in terms of complexity and system size (number of processors)
- Strongly scalable: same efficiency when increasing system size when problem size does not change
- Weakly scalable: same efficiency when increasing system size at the same rate as problem size
Performance metrics and formulas
- : the execution time on a single processor
- : the execution time on a N-processor system
- (speedup)
- (efficiency)
Speedups and efficiency
Parallel program
| p | 1 | 2 | 4 | 8 | 16 |
|---|---|---|---|---|---|
| S | 1.0 | 1.9 | 3.6 | 6.5 | 10.8 |
| 1.0 | 0.95 | 0.90 | 0.81 | 0.68 | |
![]() |
Parallel program on different problem sizes
| p | 1 | 2 | 4 | 8 | 16 | |
|---|---|---|---|---|---|---|
| Half | S | 1.0 | 1.9 | 3.1 | 4.8 | 6.2 |
| E | 1.0 | 0.95 | 0.78 | 0.60 | 0.39 | |
| Original | S | 1.0 | 1.9 | 3.6 | 6.5 | 10.8 |
| E | 1.0 | 0.95 | 0.90 | 0.81 | 0.68 | |
| Double | S | 1.0 | 1.9 | 3.9 | 7.5 | 14.2 |
| E | 1.0 | 0.95 | 0.98 | 0.94 | 0.89 | |
![]() |
Limits & costs of parallel programming
Amdahl’s law
- potential program speedup is defined by the fraction of code () that can be parallelized
- if none of the code can be parallelized → and (no speedup)
- if all of the code is parallelized → and (in theory)
- if 50% of the code can be parallelized → maximum speedup (code will run twice as fast)
| N | P = 0.50 | P = 0.90 | P = 0.95 | P = 0.99 |
|---|---|---|---|---|
| 10 | 1.82 | 5.26 | 6.89 | 9.17 |
| 100 | 1.98 | 9.17 | 16.80 | 50.25 |
| 1000 | 1.99 | 9.91 | 19.62 | 90.99 |
| 10000 | 1.99 | 9.91 | 19.96 | 99.02 |
| 100000 | 1.99 | 9.99 | 19.99 | 99.90 |

Amdahl’s law - Fixed size speedup
- Let be the fraction of a program that is sequential → is the fraction that can be parallelized
- Let be the execution time on 1 processor
- Let be the execution time on N processors
- is the speedup
- As
- When does Amdahl’s Law apply?
- when the problem size is fixed
- strong scaling (, )
- speedup bound is determined by the degree of sequential execution time in the computation, not # of processors
Gustafson-Barsis’ Law (scaled speedup)
- assume parallel time is kept constant
- is constant
- is the fraction of spent in sequential execution
- is the fraction of spent in parallel execution
- What is the execution time on one processor?
- What is the speedup in this case?
- When does Gustafson’s Law apply?
- when problem size can increase as the number of processors increases
- weak scaling ()
- speedup function includes number of processors
- can maintain or increase parallel efficiency as the problem scales
Amdahl vs Gustafson-Baris

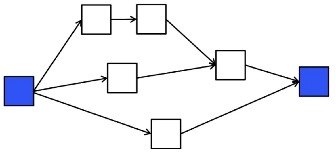
DAG Model of Computation
- think of a program as a directed acyclic graph (DAG) of tasks
- task cannot execute until all the inputs to the task are available
- these come from outputs of earlier executing tasks
- DAG shows explicitly the task dependencies
- think of the hardware as consisting of workers (processors)
- consider a greedy scheduler of the DAG tasks to workers (no worker is idle while there are tasks still to execute)
graph LR A --> B A --> D A --> E B --> C C --> F D --> F E --> F F --> G
Work-span model
- = time to run with workers
- = work (execution of all tasks by 1 worker)
- Sum of all work
- = span (time along critical path)
- Critical path: sequence of task execution (path) through DAG that takes the longest time to execute → assumes an inf
Lower/upper bound on greedy scheduling
- suppose we only have workers
- we can write a work-span formula to derive a lower bound on →
- is the best possible execution time
- Brent’s Lemma derives an upper bound:
- capture the additional cost executing the other tasks not on the critical path
- assume we can do so without overhead
-

Amdahl was an optimist

Note
kind of ended slide 31? he speedran through the rest
Midterm
- no multiple choice? potentially
- 4 or 5 questions
- format will come via email!!!!!!!!

